Skip to main content

Section 8.17 AVL Tree Implementation

Now that we have demonstrated that keeping an AVL tree in balance is going to be a big performance improvement, let us look at how we will augment the procedure to insert a new key into the tree. Since all new keys are inserted into the tree as leaf nodes and we know that the balance factor for a new leaf is zero, there are no new requirements for the node that was just inserted. But once the new leaf is added we must update the balance factor of its parent. How this new leaf affects the parent’s balance factor depends on whether the leaf node is a left child or a right child. If the new node is a right child the balance factor of the parent will be reduced by one. If the new node is a left child then the balance factor of the parent will be increased by one. This relation can be applied recursively to the grandparent of the new node, and possibly to every ancestor all the way up to the root of the tree. Since this is a recursive procedure let us examine the two base cases for updating balance factors:
  • The recursive call has reached the root of the tree.
  • The balance factor of the parent has been adjusted to zero. You should convince yourself that once a subtree has a balance factor of zero, then the balance of its ancestor nodes does not change.
We will implement the AVL tree as a subclass of BinarySearchTree. To begin, we will override the _put method and write a new updateBalance helper method. These methods are shown in Exploration 8.17.1. You will notice that the definition for _put is exactly the same as in simple binary search trees except for the additions of the calls to updateBalance on lines 8 and 17 of the C++ version.

Exploration 8.17.1. Implementation of _put and updateBalance.

(a) C++ Implementation.

void _put(int key, string val, TreeNode *currentNode){
    if (key < currentNode->key){
        if (currentNode->hasLeftChild()){
            this->_put(key, val, currentNode->leftChild);
        }
        else{
            currentNode->leftChild = new TreeNode(key, val, currentNode);
            this->updateBalance(currentNode->leftChild);
        }
    }
    else{
        if (currentNode->hasRightChild()){
            this->_put(key, val, currentNode->rightChild);
        }
        else{
            currentNode->rightChild = new TreeNode(key, val, currentNode);
            this->updateBalance(currentNode->rightChild);
        }
    }
}

int updateBalance(TreeNode *node){
    if (node->balanceFactor > 1 || node->balanceFactor < -1){
        this->rebalance(node);
        return 0;
    }
    if (node->parent != nullptr){
        if (node->isLeftChild()){
            node->parent->balanceFactor += 1;
        }
        else if (node->isRightChild()){
            node->parent->balanceFactor -= 1;
        }
        if (node->parent->balanceFactor != 0){
            this->updateBalance(node->parent);
        }
    }
    return 0;
}

(b) Python Implementation.

class AVLTree:
    # Other method definitions
    # ... 

    def _put(self, key, value, current_node):
        if key < current_node.key:
            if current_node.has_left_child():
                self._put(key, value, current_node.left_child)
            else:
                current_node.left_child= TreeNode(key, value, current_node)
                self.update_balance(current_node.left_child)
        else:
            if current_node.has_right_child():
                self._put(key, value, current_node.right_child)
            else:
                current_node.right_child= TreeNode(key, value, current_node)
                self.update_balance(current_node.right_child)

    
    def update_balance(self, node): 
        if node.balance_factor > 1 or node.balance_factor < -1:
            self.rebalance(node)
            return 0

        if node.parent is not None:
            if node.is_left_child():
                node.parent.balance_factor += 1
            elif node.is_right_child():
                node.parent.balance_factor -= 1

        if node.parent.balance_factor != 0:
            self.update_balance(node.parent)

    return 0
The new updateBalance method is where most of the work is done. The updateBalance method first checks to see if the current node is out of balance enough to require rebalancing (line 23). If that is the case then the rebalancing is done and no further updating to parents is required. If the current node does not require rebalancing then the balance factor of the parent is adjusted. If the balance factor of the parent is non-zero then the algorithm continues to work its way up the tree toward the root by recursively calling updateBalance on the parent.
When a rebalancing of the tree is necessary, how do we do it? Efficient rebalancing is the key to making the AVL Tree work well without sacrificing performance. In order to bring an AVL Tree back into balance we will perform one or more rotations on the tree.
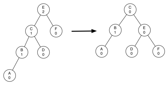
To understand what a rotation is let us look at a very simple example. Consider the tree in the left half of Figure 8.17.1. This tree is out of balance with a balance factor of -2. To bring this tree into balance we will use a left rotation around the subtree rooted at node A.
described in detail following the image
Image illustrating the transformation of an unbalanced binary tree using a left rotation. The initial tree on the left has a root node "A" with a balance factor of -2, indicating it is out of balance. Node "A" has a right child "B" with a balance factor of -1, and node "B" has a right child "C." An arrow points to the resulting balanced tree on the right, where "B" becomes the new root, "A" becomes the left child of "B," and "C" remains the right child of "B." All nodes in the resulting tree have a balance factor of 0, restoring balance to the structure.
Figure 8.17.1. Transforming an Unbalanced Tree Using a Left Rotation.
To perform a left rotation we essentially do the following:
  • Promote the right child (B) to be the root of the subtree.
  • Move the old root (A) to be the left child of the new root.
  • If new root (B) already had a left child then make it the right child of the new left child (A). Note: Since the new root (B) was the right child of A the right child of A is guaranteed to be empty at this point. This allows us to add a new node as the right child without any further consideration.
While this procedure is fairly easy in concept, the details of the code are a bit tricky since we need to move things around in just the right order so that all properties of a Binary Search Tree are preserved. Furthermore we need to make sure to update all of the parent pointers appropriately.
Let’s look at a slightly more complicated tree to illustrate the right rotation. The left side of Figure 8.17.2 shows a tree that is left-heavy and with a balance factor of 2 at the root. To perform a right rotation we essentially do the following:
  • Promote the left child (C) to be the root of the subtree.
  • Move the old root (E) to be the right child of the new root.
  • If the new root(C) already had a right child (D) then make it the left child of the new right child (E). Note: Since the new root (C) was the left child of E, the left child of E is guaranteed to be empty at this point. This allows us to add a new node as the left child without any further consideration.
described in detail following the image
Image illustrating the transformation of an unbalanced binary tree using a right rotation. The initial tree on the left has the root node "E" with a balance factor of 2, making it left-heavy. Node "E" has a left child "C," which in turn has children "B" and "D." Node "B" further has a left child "A." An arrow points to the balanced tree on the right, where "C" becomes the new root. Node "E" becomes the right child of "C," while "B" remains the left child of "C" and "A" remains the left child of "B." Node "D" is repositioned as the left child of "E." The resulting tree is balanced, with updated relationships between nodes to satisfy the balance factor constraints.
Figure 8.17.2. Transforming an Unbalanced Tree Using a Right Rotation.
Now that you have seen the rotations and have the basic idea of how a rotation works let us look at the code. Listing 8.17.3 shows the code for both the right and the left rotations. In line 2 we create a temporary variable to keep track of the new root of the subtree. As we said before the new root is the right child of the previous root. Now that a reference to the right child has been stored in this temporary variable we replace the right child of the old root with the left child of the new.
The next step is to adjust the parent pointers of the two nodes. If newRoot has a left child then the new parent of the left child becomes the old root. The parent of the new root is set to the parent of the old root. If the old root was the root of the entire tree then we must set the root of the tree to point to this new root. Otherwise, if the old root is a left child then we change the parent of the left child to point to the new root; otherwise we change the parent of the right child to point to the new root. (lines 11-18). Finally we set the parent of the old root to be the new root. This is a lot of complicated bookkeeping, so we encourage you to trace through this function while looking at Figure 8.17.1. The rotateRight method is symmetrical to rotateLeft so we will leave it to you to study the code for rotateRight.
Listing 8.17.3. Implementation of rotateLeft and rotateRight
void rotateLeft(TreeNode *rotRoot){
    TreeNode *newRoot = rotRoot->rightChild;
    rotRoot->rightChild = newRoot->leftChild;
    if (newRoot->leftChild != nullptr){
        newRoot->leftChild->parent = rotRoot;
    }
    newRoot->parent = rotRoot->parent;
    if (rotRoot->isRoot()){
        this->root = newRoot;
    }
    else{
        if (rotRoot->isLeftChild()){
            rotRoot->parent->leftChild = newRoot;
        }
        else{
            rotRoot->parent->rightChild = newRoot;
        }
    }
    newRoot->leftChild = rotRoot;
    rotRoot->parent = newRoot;
    rotRoot->balanceFactor = rotRoot->balanceFactor + 1 - min(newRoot->balanceFactor, 0);
    newRoot->balanceFactor = newRoot->balanceFactor + 1 + max(rotRoot->balanceFactor, 0);
}
Finally, lines 21-22 require some explanation. In these two lines we update the balance factors of the old and the new root. Since all the other moves are moving entire subtrees around the balance factors of all other nodes are unaffected by the rotation. But how can we update the balance factors without completely recalculating the heights of the new subtrees? The following derivation should convince you that these lines are correct.
described in detail following the image
Image illustrating a left rotation in a binary tree. The diagram consists of two stages: the initial tree structure and the resulting tree after the rotation. In the initial tree, node "B" is the root, with node "A" as its left child and node "D" as its right child. Node "D" has two subtrees, "C" as its left child and "E" as its right child. After the left rotation, node "D" becomes the new root, with node "B" as its left child and node "E" as its right child. Node "B" retains "A" as its left child and "C" as its right child. The arrow between the two stages indicates the direction of the rotation. This figure demonstrates the rebalancing operation in a binary tree by performing a left rotation.
Figure 8.17.4. A Left Rotation.
Figure 8.17.4 shows a left rotation. B and D are the pivotal nodes and A, C, E are their subtrees. Let \(h_x\) denote the height of a particular subtree rooted at node \(x\text{.}\) By definition we know the following:
\begin{equation*} \begin{split} newBal(B) & = h_A - h_C \\ oldBal(B) &= h_A - h_D \end{split} \end{equation*}
But we know that the old height of D can also be given by \(1 + max(h_C,h_E)\text{,}\) that is, the height of D is one more than the maximum height of its two children. Remember that \(h_c\) and \(h_E\) hav not changed. So, let us substitute that in to the second equation, which gives us
\begin{equation*} oldBal(B) = h_A - (1 + max(h_C,h_E)) \end{equation*}
and then subtract the two equations. The following steps do the subtraction and use some algebra to simplify the equation for \(newBal(B)\text{.}\)
\begin{equation*} \begin{split} newBal(B) - oldBal(B) &= h_A - h_C - (h_A - (1 + max(h_C,h_E))) \\ newBal(B) - oldBal(B) &= h_A - h_C - h_A + (1 + max(h_C,h_E)) \\ newBal(B) - oldBal(B) &= h_A - h_A + 1 + max(h_C,h_E) - h_C \\ newBal(B) - oldBal(B) &= 1 + max(h_C,h_E) - h_C \end{split} \end{equation*}
Next we will move \(oldBal(B)\) to the right hand side of the equation and make use of the fact that \(max(a,b)-c = max(a-c, b-c)\text{.}\)
\begin{equation*} newBal(B) = oldBal(B) + 1 + max(h_C - h_C ,h_E - h_C) \end{equation*}
But, \(h_E - h_C\) is the same as \(-oldBal(D)\text{.}\) So we can use another identity that says \(max(-a,-b) = -min(a,b)\text{.}\) So we can finish our derivation of \(newBal(B)\) with the following steps:
\begin{equation*} \begin{split} newBal(B) & = oldBal(B) + 1 + max(0 , -oldBal(D)) \\ newBal(B) & = oldBal(B) + 1 - min(0 , oldBal(D)) \end{split} \end{equation*}
Now we have all of the parts in terms that we readily know. If we remember that B is rotRoot and D is newRoot then we can see this corresponds exactly to the statement on line 21, or:
rotRoot.balanceFactor = rotRoot.balanceFactor + 1 - min(0,newRoot.balanceFactor)
A similar derivation gives us the equation for the updated node D, as well as the balance factors after a right rotation. We leave these as exercises for you.
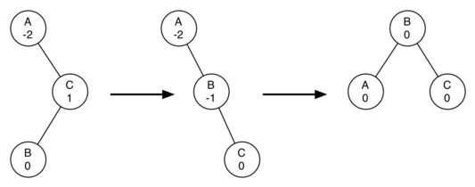
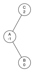
Now you might think that we are done. We know how to do our left and right rotations, and we know when we should do a left or right rotation, but take a look at Figure 8.17.5. Since node A has a balance factor of -2 we should do a left rotation. But, what happens when we do the left rotation around A?
described in detail following the image
Image showing an unbalanced binary tree with three nodes labeled "A," "C," and "B." Node "A" is the root, with a balance factor of -2, indicating that its right subtree is significantly taller than its left subtree. Node "C" is the right child of "A," with a balance factor of 1, meaning its left subtree is taller than its right subtree. Node "B" is the left child of "C," with a balance factor of 0, indicating it is balanced. The structure of the tree demonstrates a more complex scenario for balancing due to conflicting balance factors at different levels.
Figure 8.17.5. An Unbalanced Tree that is More Difficult to Balance.
Figure 8.17.6 shows us that after the left rotation we are now out of balance the other way. If we do a right rotation to correct the situation we are right back where we started.
described in detail following the image
Image showing the state of a binary tree after a left rotation around node "A." Node "C" becomes the new root with a balance factor of 2, indicating that its left subtree is much taller than its right subtree. Node "A" becomes the left child of "C," with a balance factor of -1, meaning its right subtree is taller than its left subtree. Node "B" remains the left child of "A," with a balance factor of 0, indicating it is balanced. This new configuration highlights that the tree is now out of balance in the opposite direction, necessitating further adjustments.
Figure 8.17.6. After a Left Rotation the Tree is Out of Balance in the Other Direction.
To correct this problem we must use the following set of rules:
  • If a subtree needs a left rotation to bring it into balance, first check the balance factor of the right child. If the right child is left heavy then do a right rotation on right child, followed by the original left rotation.
  • If a subtree needs a right rotation to bring it into balance, first check the balance factor of the left child. If the left child is right heavy then do a left rotation on the left child, followed by the original right rotation.
Figure 8.17.7 shows how these rules solve the dilemma we encountered in Figure 8.17.5 and Figure 8.17.6. Starting with a right rotation around node C puts the tree in a position where the left rotation around A brings the entire subtree back into balance.
described in detail following the image
Image showing the process of rebalancing a binary tree using a right rotation followed by a left rotation. The diagram consists of three stages. In the first stage, the unbalanced tree has node "A" as the root with a balance factor of -2. Node "C" is the right child of "A," with a balance factor of 1, and "B" is the left child of "C." This configuration necessitates rebalancing. In the second stage, a right rotation is performed around node "C." Node "B" becomes the right child of "A," and "C" becomes the right child of "B." This step resolves the imbalance between nodes "C" and "B." In the third stage, a left rotation is performed around node "A." Node "B" becomes the new root, with "A" as its left child and "C" as its right child. The tree is now fully balanced, with all nodes having a balance factor of 0. Arrows between the stages indicate the direction of the rotations, and balance factors are displayed to emphasize the changes during the process.
Figure 8.17.7. A Right Rotation Followed by a Left Rotation.
The code that implements these rules can be found in our rebalance method, which is shown in Listing 8.17.8. Rule number 1 from above is implemented by the if statement starting on line 2. Rule number 2 is implemented by the else if statement starting on line 11.
Listing 8.17.8. Implementation of rebalance
void rebalance(TreeNode *node){
    if (node->balanceFactor < 0){
        if (node->rightChild->balanceFactor > 0){
            this->rotateRight(node->rightChild);
            this->rotateLeft(node);
        }
        else{
            this->rotateLeft(node);
        }
    }
    else if (node->balanceFactor > 0){
        if (node->leftChild->balanceFactor < 0){
            this->rotateLeft(node->leftChild);
            this->rotateRight(node);
        }
        else {
            this->rotateRight(node);
        }
    }
}
The discussion questions provide you the opportunity to rebalance a tree that requires a left rotation followed by a right. In addition the discussion questions provide you with the opportunity to rebalance some trees that are a little more complex than the tree in Figure 8.17.7.
By keeping the tree in balance at all times, we can ensure that the get method will run in order \(O(\log_2(n))\) time. But the question is at what cost to our put method? Let us break this down into the operations performed by put. Since a new node is inserted as a leaf, updating the balance factors of all the parents will require a maximum of \(\log_2(n)\) operations, one for each level of the tree. If a subtree is found to be out of balance a maximum of two rotations are required to bring the tree back into balance. But, each of the rotations works in \(O(1)\) time, so even our put operation remains \(O(\log_2(n))\text{.}\)
At this point we have implemented a functional AVL-Tree, unless you need the ability to delete a node. We leave the deletion of the node and subsequent updating and rebalancing as an exercise for you.

Reading Questions Reading Question

1.

How does adding a new leaf in an AVL Tree affect the parent’s balance factor?
  • A left leaf reduces the balance factor by 1
  • Carefully think about what you read in AVL performance
  • A right leaf reduces the balance factor by 2
  • Carefully think about what you read in AVL performance
  • A left leaf increases the balance factor by 1 and the right leaf reduces the balance factor by 1 and does not affect the grandparent’s balance factor
  • Carefully think about what you read in AVL performance
  • A left leaf increases the balance factor by 1 and the right leaf reduces the balance factor by 1 of the parent
  • Correct!
  • The leaves do not affect the parent’s balance factor, only the ancestor nodes
  • Carefully think about what you read in AVL performance