#include <fstream>
#include <iostream>
#include <map>
#include <queue>
#include <string>
#include <vector>
using namespace std;
class Vertex {
public:
string id;
map<string, float> connectedTo;
// Added for Breadth-First Algorithm
char color;
float dist;
Vertex *pred;
Vertex() {
// w for white, g for grey, b for black
color = 'w';
dist = 0;
pred = nullptr;
}
Vertex(string key) {
id = key;
color = 'w';
dist = 0;
pred = nullptr;
}
void addNeighbor(string nbr, float weight = 1) {
connectedTo[nbr] = weight;
}
vector<string> getConnections() {
vector<string> keys;
// Use of iterator to find all keys
for (map<string, float>::iterator it = connectedTo.begin();
it != connectedTo.end();
++it) {
keys.push_back(it->first);
}
return keys;
}
string getId() {
return id;
}
float getWeight(string nbr) {
return connectedTo[nbr];
}
friend ostream &operator<<(ostream &, Vertex &);
};
ostream &operator<<(ostream &stream, Vertex &vert) {
vector<string> connects = vert.getConnections();
stream << vert.id << " -> ";
for (unsigned int i = 0; i < connects.size(); i++) {
stream << connects[i] << endl << "\t";
}
return stream;
}
class Graph {
public:
map<string, Vertex> vertList;
int numVertices;
bool directional;
Graph(bool directed = true) {
directional = directed;
numVertices = 0;
}
Vertex addVertex(string key) {
numVertices++;
Vertex newVertex = Vertex(key);
this->vertList[key] = newVertex;
return newVertex;
}
Vertex *getVertex(string n) {
return &vertList[n];
}
bool contains(string n) {
for (map<string, Vertex>::iterator it = vertList.begin();
it != vertList.end();
++it) {
if (it->first == n) {
return true;
}
}
return false;
}
void addEdge(string f, string t, float cost = 1) {
if (!this->contains(f)) {
this->addVertex(f);
}
if (!this->contains(t)) {
this->addVertex(t);
}
vertList[f].addNeighbor(t, cost);
if (!directional) {
vertList[t].addNeighbor(f, cost);
}
}
vector<string> getVertices() {
vector<string> verts;
for (map<string, Vertex>::iterator it = vertList.begin();
it != vertList.end();
++it) {
verts.push_back(it->first);
}
return verts;
}
friend ostream &operator<<(ostream &, Graph &);
};
ostream &operator<<(ostream &stream, Graph &grph) {
for (map<string, Vertex>::iterator it = grph.vertList.begin();
it != grph.vertList.end();
++it) {
stream << grph.vertList[it->first];
cout << endl;
}
return stream;
}
string getBlank(string str, int index) {
string blank = str;
blank[index] = '_';
return blank;
}
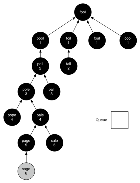
Graph buildGraph(vector<string> words) {
Graph g(false);
map<string, vector<string> > d;
// Go through the words
for (unsigned int i = 0; i < words.size(); i++) {
// Go through each letter, making it blank
for (unsigned int j = 0; j < words[i].length(); j++) {
string bucket = getBlank(words[i], j);
// Add the word to the map at the location of the blank
d[bucket].push_back(words[i]);
}
}
for (map<string, vector<string> >::iterator iter = d.begin();
iter != d.end();
++iter) {
for (unsigned int i = 0; i < iter->second.size(); i++) {
for (unsigned int j = 0; j < iter->second.size(); j++) {
if (iter->second[i] != iter->second[j]) {
g.addEdge(iter->second[i], iter->second[j]);
}
}
}
}
return g;
}
Graph bfs(Graph g, Vertex *start) {
start->dist = 0;
start->pred = nullptr;
queue<Vertex *> vertQueue;
vertQueue.push(start);
while (vertQueue.size() > 0) {
Vertex *currentVert = vertQueue.front();
vertQueue.pop();
for (unsigned int nbr = 0; nbr < currentVert->getConnections().size(); nbr++) {
if (g.vertList[currentVert->getConnections()[nbr]].color == 'w') {
g.vertList[currentVert->getConnections()[nbr]].color = 'g';
g.vertList[currentVert->getConnections()[nbr]].dist =
currentVert->dist + 1;
g.vertList[currentVert->getConnections()[nbr]].pred =
currentVert;
vertQueue.push(&g.vertList[currentVert->getConnections()[nbr]]);
}
}
currentVert->color = 'b';
}
return g;
}
void traverse(Vertex *y) {
Vertex *x = y;
while (x->pred) {
cout << x->id << endl;
x = x->pred;
}
cout << x->id << endl;
}
int main() {
// Vector Initialized with an array
string arr[] = {"fool",
"cool",
"pool",
"poll",
"pole",
"pall",
"fall",
"fail",
"foil",
"foul",
"pope",
"pale",
"sale",
"sage",
"page"};
vector<string> words(arr, arr + (sizeof(arr) / sizeof(arr[0])));
// Graph g = buildGraph(words);
Graph g(false);
g = buildGraph(words);
g = bfs(g, g.getVertex("fool"));
traverse(g.getVertex("pall"));
return 0;
}